校园要闻
综合新闻
综合
教学
科研
党建
学院
讲座
党派
视听
科教前沿
合作交流
外事快讯
社会服务
招生就业
招生
就业
深度报道
图说华理
新媒体
媒体华理
校报在线
通知公告
讲座报告
首页
校园要闻
校园要闻
校园要闻
华东理工大学举行纪念“三八”国际妇女节116周年暨先进表彰会
每一份荣誉的背后,都有坚守与担当。3月6日上午,华东理工大学纪念“三八”国际妇女节116周年暨先进表彰会在徐汇校区八角亭二楼隆重举行。校党...
2026-03-09
11
分享到
校园要闻
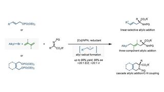
【创新前沿】JACS报道我校研究进展:攻克惰性氰基,拓展酶催化边界
近日,我校生物反应器工程全国重点实验室张立新团队解永涛组在酶催化领域取得重要突破。相关研究成果以“Enzyme-Catalyzed Intramolecular C-C Co...
2026-03-09
165
分享到
校园要闻
学校召开2026年实验室安全工作小组第一次会议并开展专项检查
3月5日,学校召开2026年华东理工大学实验室安全工作小组第一次会议,副校长李春忠出席会议并讲话。
2026-03-09
254
分享到
校园要闻
【创新前沿】《美国化学会志》报道我校在单分子电化学晶体管领域研究新进展
近日,我校化学与分子工程学院费林加诺贝尔奖科学家联合研究中心李洪祥教授课题组在Journal of the American Chemical Society上发表了题为“Hi...
2026-03-09
287
分享到
校园要闻
【创新前沿】Water Research报道我校高级氧化技术研究新进展
近日,我校资环学院刘勇弟教授、周亮副教授团队在环境领域顶级期刊Water Research上发表了题为“Tailoring COFs for highly selective generation...
2026-03-09
224
分享到
校园要闻
学校召开2025年度校领导班子和领导人员考核及干部选拔任用“一报告两评议”会议
3月6日下午,华东理工大学2025年度校领导班子和领导人员考核及干部选拔任用“一报告两评议”会议在徐汇校区逸夫楼报告厅举行。学校领导班子成员、...
2026-03-09
174
分享到
校园要闻
学校召开2026年春季学期工作部署会
3月6日下午,华东理工大学2026年春季学期工作部署会在徐汇校区逸夫楼报告厅召开。会议持续深入学习党的二十大和二十届历次全会精神以及全国教育大...
2026-03-07
179
分享到
校园要闻
我校学生开展形式多样的寒假社会实践活动
今年寒假,华东理工大学组织了500余支实践团队5000余名青年学子奔赴全国34个省、自治区、直辖市,以“青春为中国式现代化挺膺担当”为主题,从田...
2026-03-06
359
分享到
校园要闻
东方电气集团董事、党组副书记张少峰一行来校调研交流
3月5日,东方电气集团董事、党组副书记兼党校校长张少峰一行来校调研交流。校长轩福贞会见张少峰一行,副校长王慧锋出席座谈交流会。会议由国家卓...
2026-03-06
445
分享到
校园要闻
涂善东院士一行赴福建龙岩开展科普宣传和招生工作
寒假期间,中国工程院院士、我校科协主席涂善东科普团队与本科生招生办公室及商学院联合主办的2026年新春招生宣讲暨科技研学活动,在福建省龙岩市...
2026-03-06
1271
分享到
校园要闻
【创新前沿】Chemical Engineering Journal报道我校基于金缀合的铈基纳米递药平台在核酸递送和治疗结肠炎研究方面的新进展
近日,华东理工大学药学院高峰教授团队在前期反义寡核苷酸(Antisense oligonucleotide,ASO)-锌配位纳米酶和口服聚合物材料研究的基础上,围绕...
2026-03-06
364
分享到
校园要闻
【创新前沿】Plant Physiology报道我校在抗菌剂胁迫下蓝藻耐受机制研究新进展
近日,生物工程学院范建华教授课题组在植物学知名期刊Plant Physiology上发表了题为“Genome-wide hypermutation-engineered Synechocystis sp. P...
2026-03-06
181
分享到
校园要闻
学校召开第十二届学术委员会第二次全体会议
3月3日,华东理工大学第十二届学术委员会第二次全体会议在逸夫楼举行。校学术委员会主任田禾院士、副主任涂善东院士、副主任范体军教授及全体委员...
2026-03-06
688
分享到
校园要闻
申能集团科创部来校走访交流
3月4日,申能(集团)有限公司科创部主任金皓敏一行来校走访交流,副校长李春忠出席座谈交流会并讲话。双方就进一步深化校企合作展开深入交流。座...
2026-03-06
535
分享到
校园要闻
【创新前沿】Nature Communications报道我校高性能钯基MEMS氢气传感器重要进展
近日,我校机械与动力工程学院轩福贞教授团队在高性能MEMS氢气(H2)传感器领域取得重要进展。相关研究成果以“Interfacial stress decoupling en...
2026-03-05
694
分享到
校园要闻
国家重点研发计划项目“代谢标志物高性能合成生物荧光传感系统创建与应用”2025年度进展交流会召开
近日,由华东理工大学牵头,联合上海交通大学、同济大学、广州医科大学、华东师范大学与清华大学等六家单位共同承担的国家重点研发计划“合成生物...
2026-03-05
405
分享到
校园要闻
【创新前沿】AI赋能酶法合成:我校途径工程实验室攻克长单链DNA制备难关,实现活细胞诊疗一体化新突破
近日,我校生物工程学院途径工程实验室在人工智能与酶工程交叉研究领域取得重要进展。由我校生物工程学院吴海珍教授团队领衔的研究成果,以“Mach...
2026-03-04
604
分享到
校园要闻
【创新前沿】我校与氯碱化工合作建成全球首套固定床铜基催化剂催化氧化氯化氢制氯气工业生产装置
近期,我校化学与分子工程学院郭杨龙教授团队与上海氯碱化工股份有限公司历时17余年合作开发的3万吨/年的氯气生产装置满负荷运行,并顺利通过72小...
2026-03-04
951
分享到
校园要闻
【创新前沿】Innovation报道我校关于新型EGFR抑制剂突破非小细胞肺癌罕见突变治疗瓶颈的研究进展
近日,我校药学院李洪林/陈卓/徐玉芳教授团队联合华东师范大学药学院研究团队,在Cell旗下综合性学术期刊《The Innovation》(IF = 25.7)发表题...
2026-03-04
361
分享到
校园要闻
副校长赵黎明带队调研校医院
3月3日,副校长赵黎明带队走访校医院,深入调研校医院日常运行情况及师生健康保障工作,并就开展健康学校建设相关工作进行现场指导。走访期间,赵...
2026-03-04
689
分享到
每页
20
记录
总共
11611
记录
第一页
<<上一页
下一页>>
尾页
页码
1
/
581
跳转到
热点新闻
华东理工大学举行纪念“三八”...
【创新前沿】JACS报道我校研...
学校召开2026年实验室安全工作...
【创新前沿】《美国化学会志》...
【创新前沿】Water Research报...
学校召开2025年度校领导班子和...
学校召开2026年春季学期工作部...
我校学生开展形式多样的寒假社...
东方电气集团董事、党组副书...
涂善东院士一行赴福建龙岩开展...
热点专题
更多>>
重服务 强贡献
深入贯彻中央八项规定精神学习教育
弘扬教育家精神
第十二次党代会
以本为本 追求卓越
学习宣传贯彻党的二十大精神