近日,华东理工大学化学与分子工程学院刘洪来教授团队在多孔电极中离子热力学和充放电动力学理论建模领域取得新进展,研究成果以“多孔电极的充放电微观机理”为题发表在《物理评论快报》上。

图 (a) 多孔电极示意图;(b)CV实验中的外加电压示意图;
(c)堆叠电极模型示意图;(d)堆叠电极模型的等效电子电路;
(e)表面积分电容Cs/cosh(Φ0/4)与无量纲组合ωτn 的关系示意图
在电化学实验中,循环伏安测试(CV)常用于分析EDLs的电化学性能。然而,CV数据与电极材料结构之间的关系并不明了。多年以来,研究者们使用RC串联电路、传输线模型、有限元方法等理论方法,对CV展开了深入研究,而CV与电化学器件微观性能参数之间的定量关系仍不明确。
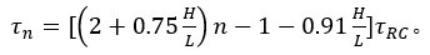
针对上述问题,作者团队在平行板堆叠电极结构模型上使用等效电路模型和Poisson–Nernst–Planck方程,分别研究了多孔电极宏观动力学和纳微观尺度的电解液热力学与动力学。研究发现,由外加电压扫描频率ω和堆叠电极模型的弛豫时间组成的无量纲组合ωτn为CV曲线和表面积分电容Cs的决定参数:当ωτn <<1时,CV曲线由双电层限制,而当ωτn >>1时,CV曲线由扩散限制,其中弛豫时间τn的表达式为:

理论模型得到实验数据验证的同时,作者团队也研究了多孔电极的孔径分布对CV曲线的影响,分析了“堆叠电极”模型与实验结果之间的误差来源。
该论文第一作者为华东理工大学在读博士生林伊婷,通讯作者为练成研究员,并得到了刘洪来教授、荷兰乌特勒支大学理论物理研究所van Roij教授的大力支持和悉心指导。该研究工作得到了化学工程联合国家重点实验室、上海多级结构纳米材料工程技术研究中心、国家自然科学基金委、上海市启明星计划等项目资助。
原文链接:https://doi.org/10.1103/PhysRevLett.128.206001





